Официальное опубликование правовых актов
ОФИЦИАЛЬНОЕ ОПУБЛИКОВАНИЕ
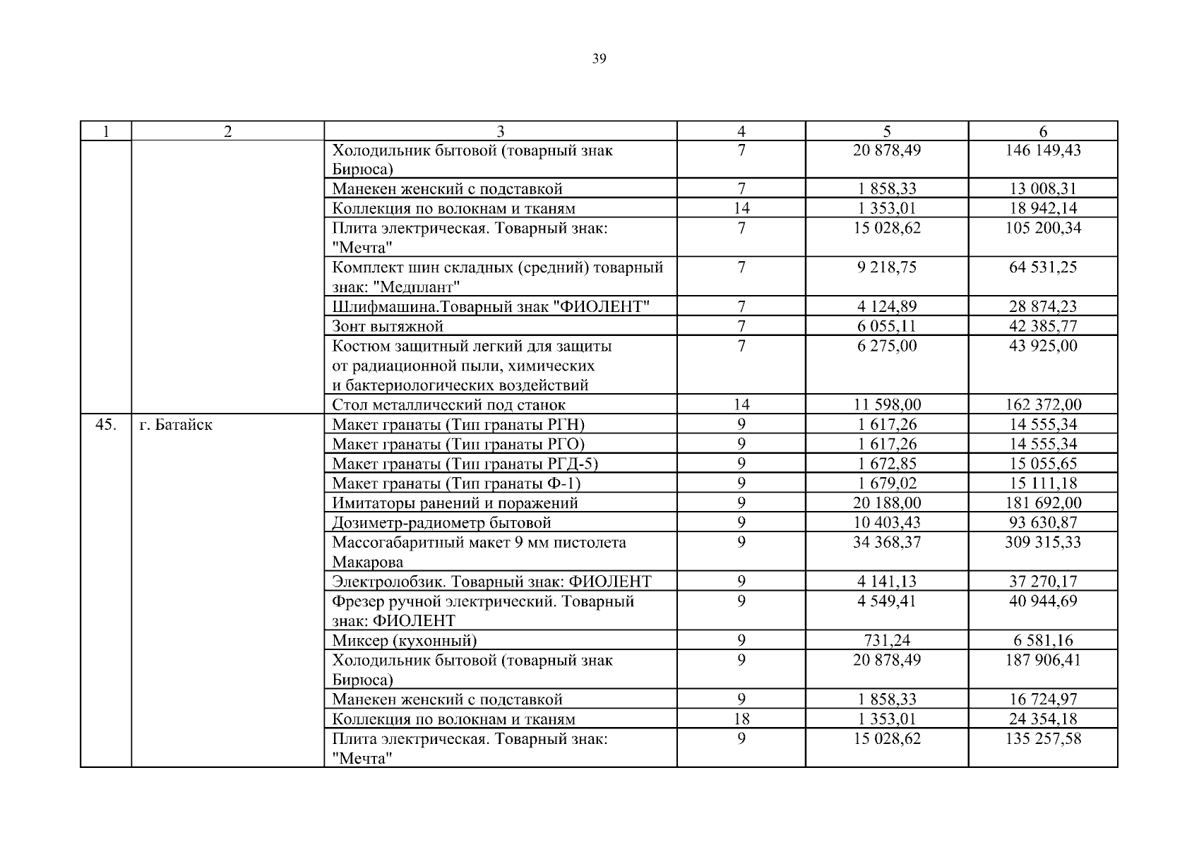
Постановление Правительства Ростовской области от 02.03.2026 № 160
"О передаче имущества из государственной собственности Ростовской области в муниципальную собственность муниципальных образований в Ростовской области"
Номер опубликования: 6100202603030001
Дата опубликования: 03.03.2026
Страница №39 из 48:
Увеличить