Официальное опубликование правовых актов
ОФИЦИАЛЬНОЕ ОПУБЛИКОВАНИЕ
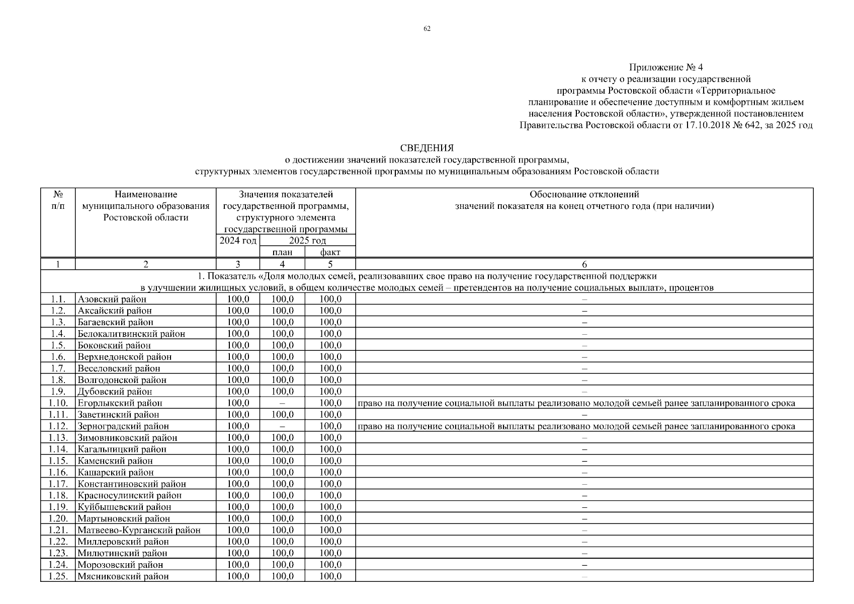
Постановление Правительства Ростовской области от 23.03.2026 № 230
"Об утверждении отчета о реализации государственной программы Ростовской области "Территориальное планирование и обеспечение доступным и комфортным жильем населения Ростовской области", утвержденной постановлением Правительства Ростовской области от 17.10.2018 № 642, за 2025 год"
Номер опубликования: 6100202603250010
Дата опубликования: 25.03.2026
Страница №62 из 67:
Увеличить