Официальное опубликование правовых актов
ОФИЦИАЛЬНОЕ ОПУБЛИКОВАНИЕ
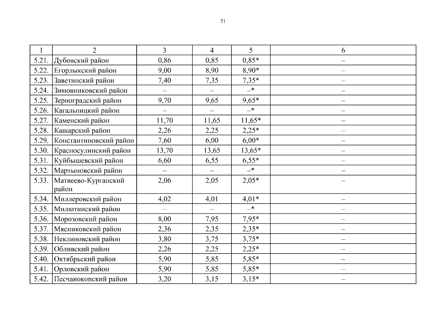
Постановление Правительства Ростовской области от 30.03.2026 № 275
"Об утверждении отчета о реализации государственной программы Ростовской области "Обеспечение качественными жилищно-коммунальными услугами населения Ростовской области" за 2025 год"
Номер опубликования: 6100202603310039
Дата опубликования: 31.03.2026
Страница №51 из 56:
Увеличить