Официальное опубликование правовых актов
ОФИЦИАЛЬНОЕ ОПУБЛИКОВАНИЕ
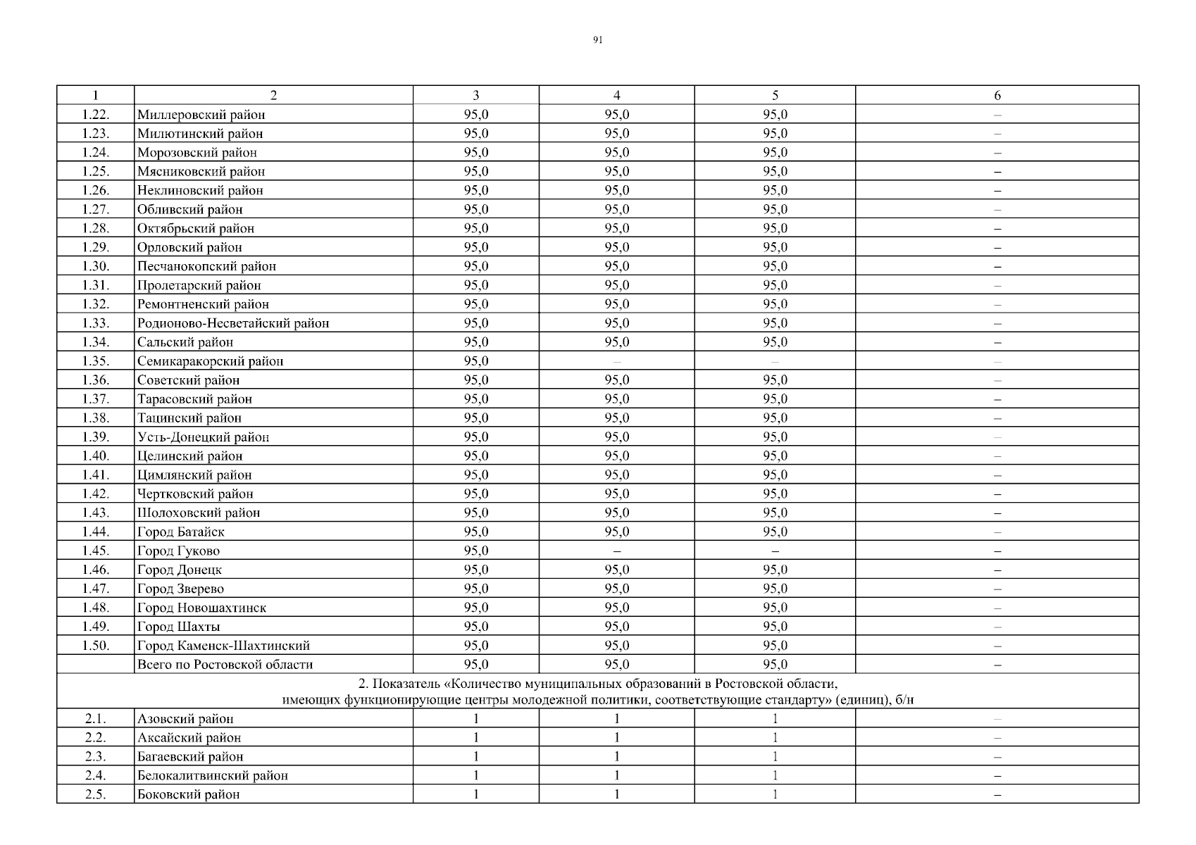
Постановление Правительства Ростовской области от 31.03.2026 № 285
"Об утверждении отчета о реализации государственной программы Ростовской области "Молодежная политика и социальная активность" за 2025 год"
Номер опубликования: 6100202604010010
Дата опубликования: 01.04.2026
Страница №91 из 93:
Увеличить