Официальное опубликование правовых актов
ОФИЦИАЛЬНОЕ ОПУБЛИКОВАНИЕ
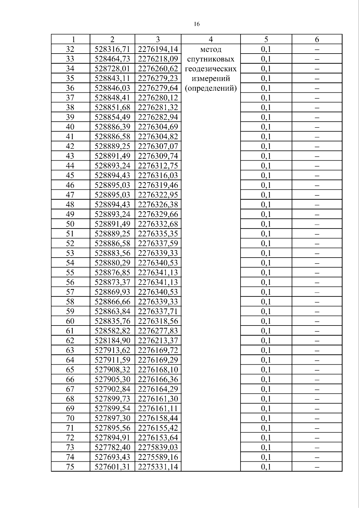
Постановление Правительства Ростовской области от 01.04.2026 № 291
"Об установлении публичного сервитута"
Номер опубликования: 6100202604020001
Дата опубликования: 02.04.2026
Страница №16 из 18:
Увеличить