Официальное опубликование правовых актов
ОФИЦИАЛЬНОЕ ОПУБЛИКОВАНИЕ
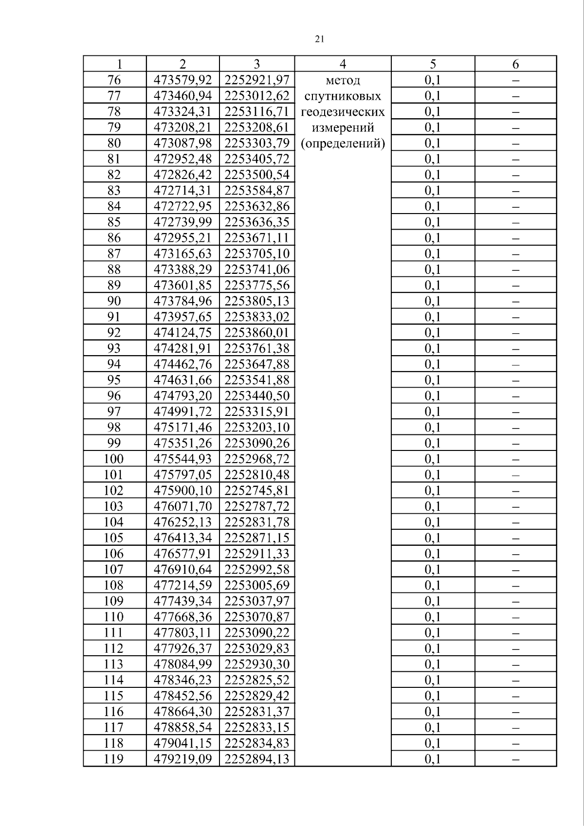
Постановление Правительства Ростовской области от 08.04.2026 № 315
"Об установлении публичного сервитута"
Номер опубликования: 6100202604090002
Дата опубликования: 09.04.2026
Страница №21 из 22:
Увеличить