Официальное опубликование правовых актов
ОФИЦИАЛЬНОЕ ОПУБЛИКОВАНИЕ
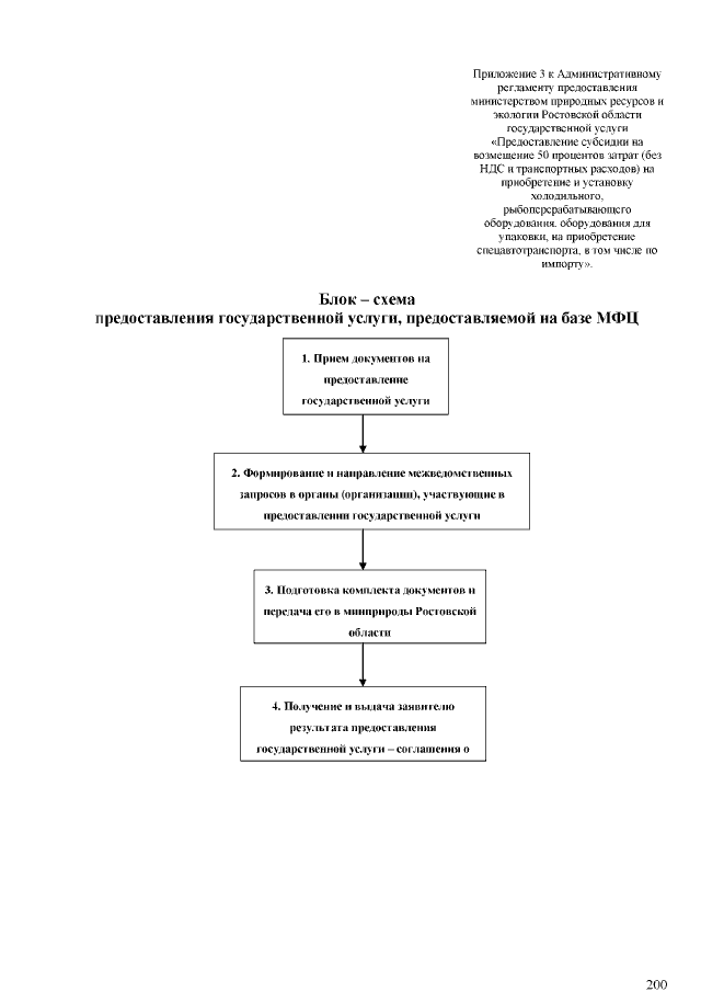
Постановление Министерства природных ресурсов и экологии Ростовской области от 28.09.2017 № П-24
"Об утверждении Административных регламентов предоставления министерством природных ресурсов и экологии Ростовской области государственных услуг"
Номер опубликования: 6101201710060002
Дата опубликования: 06.10.2017
Страница №202 из 222:
Увеличить