Официальное опубликование правовых актов
ОФИЦИАЛЬНОЕ ОПУБЛИКОВАНИЕ
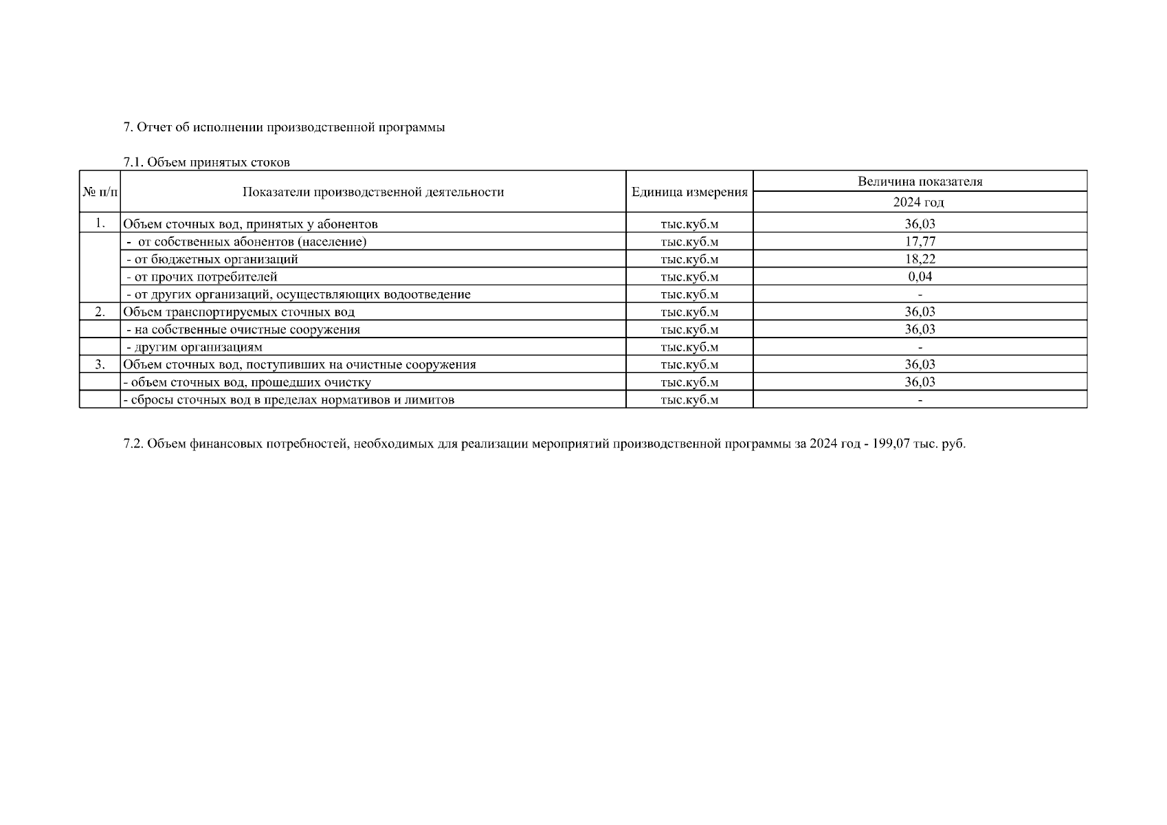
Постановление Региональной службы по тарифам Ростовской области от 09.12.2025 № 373
"О корректировке производственных программ в сфере холодного водоснабжения и водоотведения МУП ВКХ РО ЦР (ИНН 6136000070), Целинский район, на 2026 год"
(Зарегистрирован 09.12.2025 № 373)
Номер опубликования: 6101202512110107
Дата опубликования: 11.12.2025
Страница №20 из 20:
Увеличить