Официальное опубликование правовых актов
ОФИЦИАЛЬНОЕ ОПУБЛИКОВАНИЕ
Постановление Региональной службы по тарифам Ростовской области от 10.03.2026 № 20
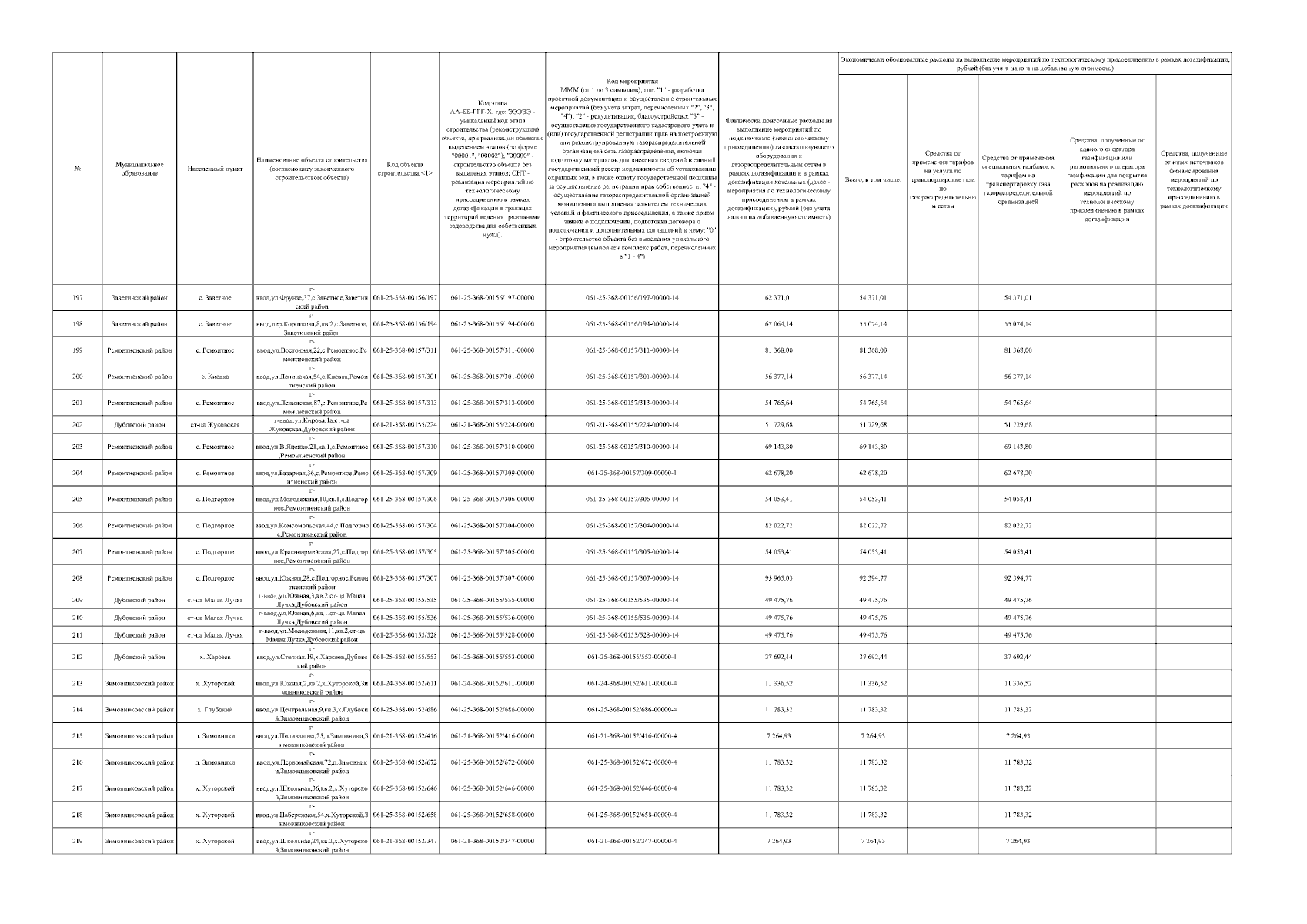
"О внесении изменений в постановление Региональной службы по тарифам Ростовской области от 24.02.2026 № 16 "Об установлении размера экономически обоснованных расходов ПАО "Газпром газораспределение Ростов-на-Дону" на выполнение мероприятий на осуществление технологического присоединения газоиспользующего оборудования в рамках догазификации за 4 квартал 2025 года"
(Зарегистрирован 10.03.2026 № 20)
Номер опубликования: 6101202603110001
Дата опубликования: 11.03.2026
Страница №10 из 176:
Увеличить