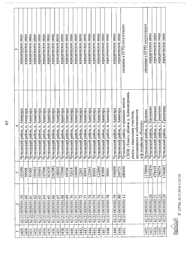
Постановление Правительства Рязанской области от 10.11.2016 № 253
"Об утверждении перечня особо ценных продуктивных сельскохозяйственных угодий на территории Рязанской области, использование которых для других целей не допускается"
"Об утверждении перечня особо ценных продуктивных сельскохозяйственных угодий на территории Рязанской области, использование которых для других целей не допускается"
Номер опубликования: 6200201611150005
Дата опубликования:
15.11.2016
