Официальное опубликование правовых актов
ОФИЦИАЛЬНОЕ ОПУБЛИКОВАНИЕ
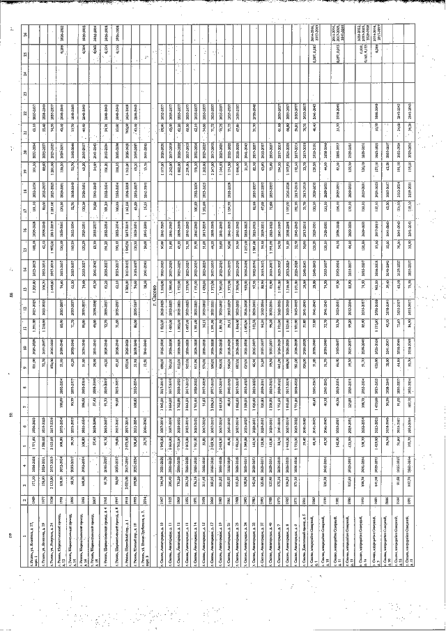
Постановление Правительства Рязанской области от 29.12.2017 № 424
"О внесении изменения в постановление Правительства Рязанской области от 12.02.2014 № 26 "Об утверждении региональной программы капитального ремонта общего имущества в многоквартирных домах" (в редакции постановлений Правительства Рязанской области от 15.10.2014 № 293, от 11.06.2015 № 140, от 13.07.2016№ 158, от 28.12.2016 № 332, от 31.10.2017 № 271)"
Номер опубликования: 6200201801040001
Дата опубликования: 04.01.2018
Страница №87 из 176:
Увеличить