Официальное опубликование правовых актов
ОФИЦИАЛЬНОЕ ОПУБЛИКОВАНИЕ
Постановление Правительства Рязанской области от 28.12.2018 № 435
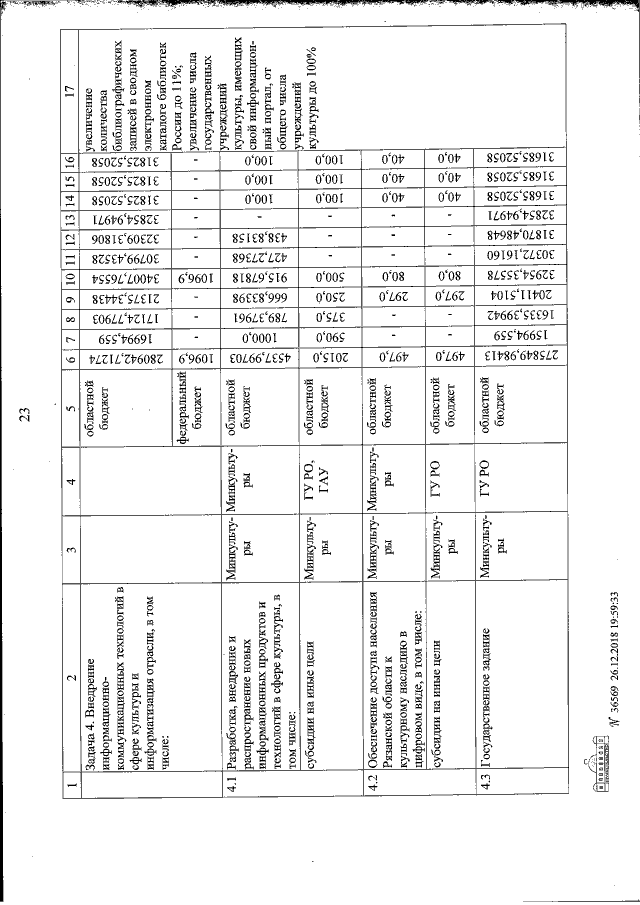
"О внесении изменений в постановление Правительства Рязанской области от 12 ноября 2018 г. № 320 "О внесении изменений в постановление Правительства Рязанской области от 29 октября 2014 г. № 316 "Об утверждении государственной программы Рязанской области "Развитие культуры и туризма на 2015-2020 годы"
Номер опубликования: 6200201901040003
Дата опубликования: 04.01.2019
Страница №67 из 80:
Увеличить