Официальное опубликование правовых актов
ОФИЦИАЛЬНОЕ ОПУБЛИКОВАНИЕ
Постановление Правительства Рязанской области от 28.12.2018 № 431
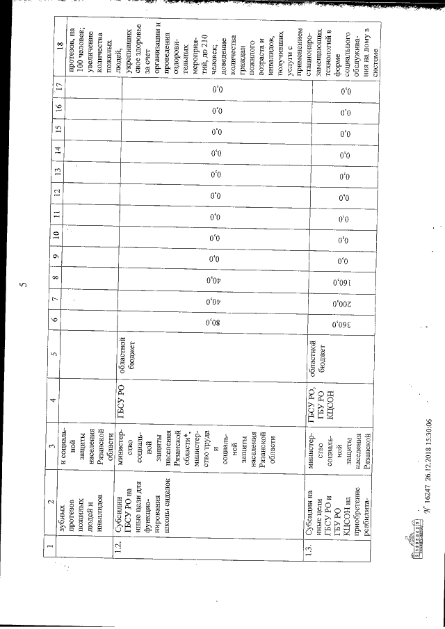
"О внесении изменений в постановление Правительства Рязанской области от 31.10.2018 № 311 "О внесении изменений в постановление Правительства Рязанской области от 30.10.2013 № 343 "Об утверждении государственной программы Рязанской области "Социальная защита и поддержка населения на 2014-2020 годы"
Номер опубликования: 6200201901040021
Дата опубликования: 04.01.2019
Страница №29 из 98:
Увеличить