Официальное опубликование правовых актов
ОФИЦИАЛЬНОЕ ОПУБЛИКОВАНИЕ
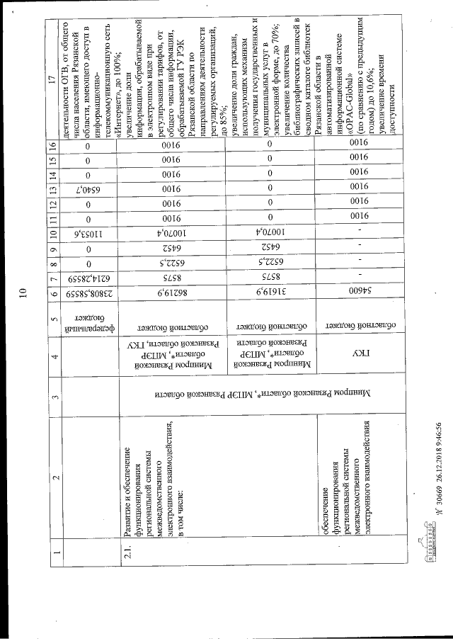
Постановление Правительства Рязанской области от 28.12.2018 № 436
"О внесении изменений в постановление Правительства Рязанской области от 31 октября 2018 г. № 310 "О внесении изменений в постановление Правительства Рязанской области от 29 октября 2014 г. № 307 "Об утверждении государственной программы Рязанской области "Развитие информационного общества, инновационной деятельности и промышленности (2015-2020 годы)"
Номер опубликования: 6200201901040025
Дата опубликования: 04.01.2019
Страница №22 из 53:
Увеличить