Официальное опубликование правовых актов
ОФИЦИАЛЬНОЕ ОПУБЛИКОВАНИЕ
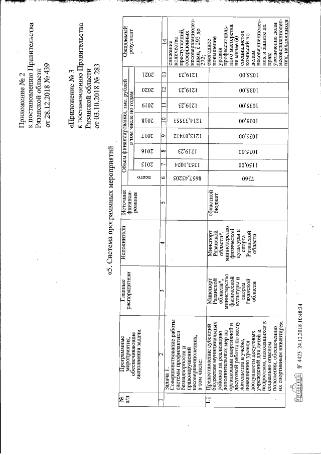
Постановление Правительства Рязанской области от 28.12.2018 № 439
"О внесении изменений в постановление Правительства Рязанской области от 03 октября 2018 г. № 283 "О внесении изменений в постановление Правительства Рязанской области от 29 октября 2014 г. № 317 "Об утверждении государственной программы Рязанской области "Профилактика правонарушений и предупреждение чрезвычайных ситуаций на 2015-2020 годы"
Номер опубликования: 6200201901040026
Дата опубликования: 04.01.2019
Страница №23 из 36:
Увеличить