Официальное опубликование правовых актов
ОФИЦИАЛЬНОЕ ОПУБЛИКОВАНИЕ
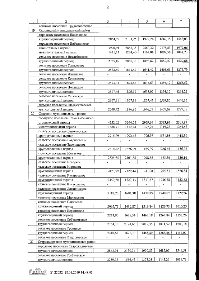
Постановление Правительства Рязанской области от 05.02.2019 № 20
"О региональном стандарте стоимости жилищно-коммунальных услуг"
Номер опубликования: 6200201902110016
Дата опубликования: 11.02.2019
Страница №30 из 43:
Увеличить