Официальное опубликование правовых актов
ОФИЦИАЛЬНОЕ ОПУБЛИКОВАНИЕ
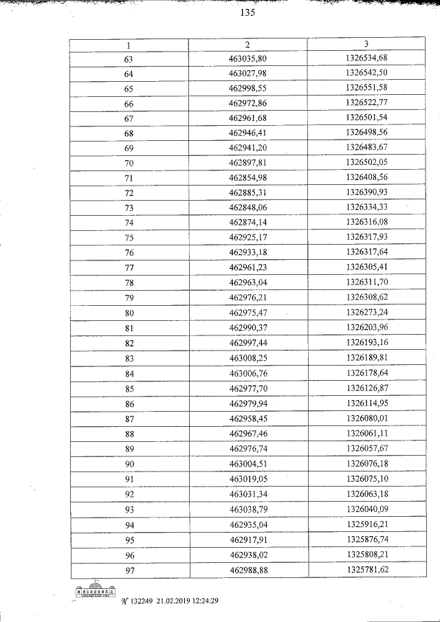
Постановление Правительства Рязанской области от 26.02.2019 № 41
"О внесении изменений в постановление Правительства Рязанской области от 14.03.2006 № 62 "Об утверждении границ Государственного музея-заповедника С.А. Есенина на территории Рыбновского и Клепиковского муниципальных районов и Положения о порядке использования земель в пределах территории и зон охраны Государственного музея- заповедника С.А. Есенина" (в редакции постановления Правительства Рязанской области от 11.12.2008 № 325)"
Номер опубликования: 6200201903040006
Дата опубликования: 04.03.2019
Страница №136 из 181:
Увеличить