Официальное опубликование правовых актов
ОФИЦИАЛЬНОЕ ОПУБЛИКОВАНИЕ
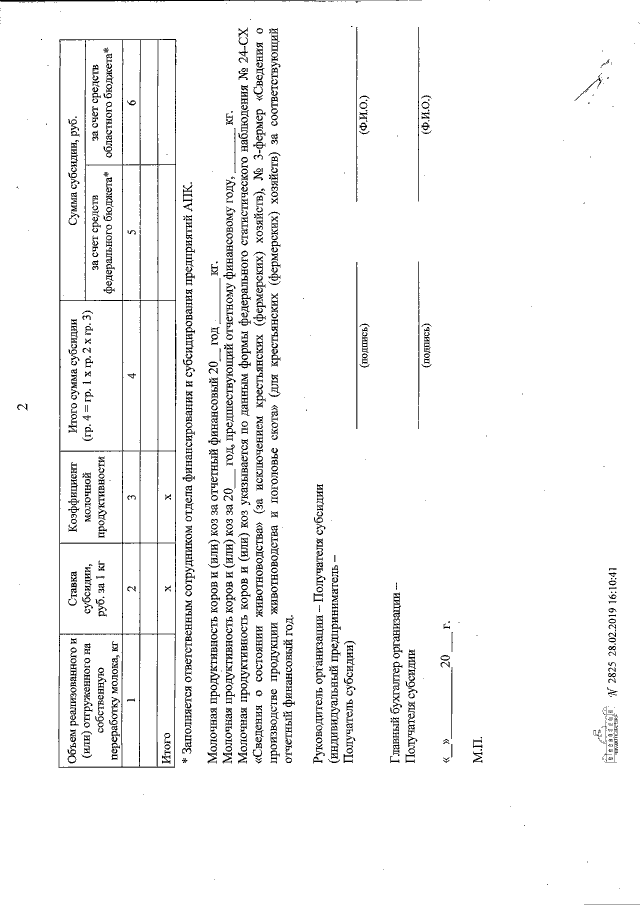
Постановление Правительства Рязанской области от 01.03.2019 № 47
"О внесении изменений в постановление Правительства Рязанской области от 13 февраля 2013 г. № 28 "Об утверждении порядков предоставления субсидий на государственную поддержку в сфере агропромышленного комплекса Рязанской области" (в редакции постановлений Правительства Рязанской области от 18.09.2013 № 267, от 04.12.2013 № 408, от 19.02.2014 № 45, от 29.08.2014 № 241, от 24.03.2015 № 67, от 12.08.2015 № 204, от 11.12.2015 № 311, от 22.06.2016 № 141, от 30.12.2016 № 335, от 14.02.2017 № 24, от 15.03.2017 № 46, от 17.05.2017 № 105, от 28.06.2017 № 141, от 06.09.2017 № 216, от 08.11.2017 № 279, от 19.12.2017 № 385, от 31.01.2018 № 17, от 13.02.2018 № 26, от 20.03.2018 № 63, от 29.05.2018 № 151, от 26.09.2018 № 274, от 06.12.2018 № 348)"
Номер опубликования: 6200201903060002
Дата опубликования: 06.03.2019
Страница №37 из 38:
Увеличить