Официальное опубликование правовых актов
ОФИЦИАЛЬНОЕ ОПУБЛИКОВАНИЕ
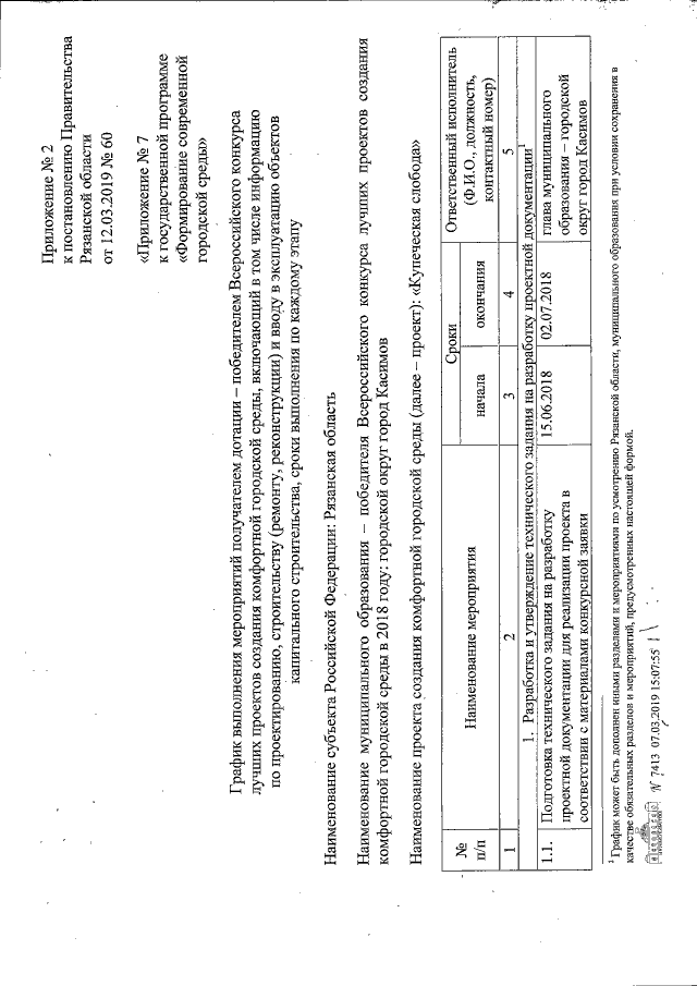
Постановление Правительства Рязанской области от 12.03.2019 № 60
"О внесении изменений в постановление Правительства Рязанской области от 30.08.2017 № 204 "Об утверждении государственной программы Рязанской области "Формирование современной городской среды" (в редакции постановлений Правительства Рязанской области от 08.05.2018 № 127, от 25.07.2018 № 206)"
Номер опубликования: 6200201903180006
Дата опубликования: 18.03.2019
Страница №12 из 22:
Увеличить