Официальное опубликование правовых актов
ОФИЦИАЛЬНОЕ ОПУБЛИКОВАНИЕ
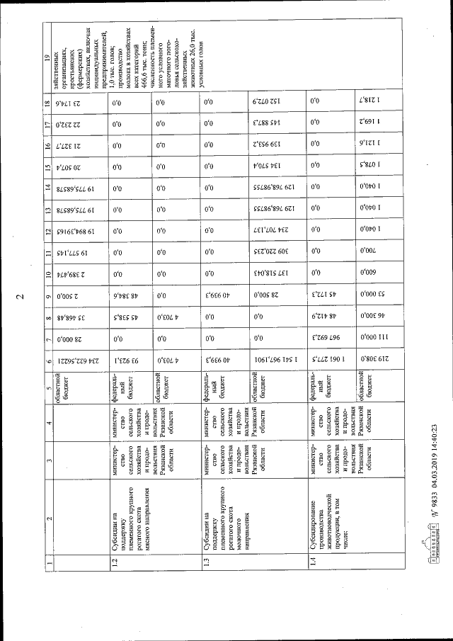
Постановление Правительства Рязанской области от 23.04.2019 № 121
"О внесении изменений в постановление Правительства Рязанской области от 30 октября 2013 г. № 357 "Об утверждении государственной программы Рязанской области "Развитие агропромышленного комплекса" (в редакции постановлений Правительства Рязанской области от 11.06.2014 № 155, от 29.12.2014 № 398, от 18.02.2015 № 20, от 15.04.2015 № 81, от 12.08.2015 № 196, от 07.10.2015 № 257, от 02.12.2015 № 295, от 23.12.2015 № 332, от 13.04.2016 № 72, от 28.12.2016 № 330, от 14.02.2017 № 22, от 26.04.2017 № 82, от 30.08.2017 № 205, от 26.12.2017 № 398, от 06.02.2018 № 20, от 22.05.2018 № 144, от 14.08.2018 № 236, от 08.10.2018 № 289, от 28.12.2018 № 441)"
Номер опубликования: 6200201904290007
Дата опубликования: 29.04.2019
Страница №67 из 99:
Увеличить