Официальное опубликование правовых актов
ОФИЦИАЛЬНОЕ ОПУБЛИКОВАНИЕ
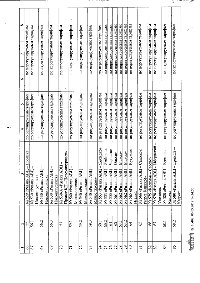
Постановление Правительства Рязанской области от 14.05.2019 № 132
"О внесении изменения в постановление Правительства Рязанской области от 31 августа 2016 г. № 198 "Об утверждении документа планирования регулярных перевозок по межмуниципальным маршрутам на 2016-2020 годы" (в редакции постановлений Правительства Рязанской области от 17.05.2017 № 104, от 19.12.2017 № 379)"
Номер опубликования: 6200201905200003
Дата опубликования: 20.05.2019
Страница №6 из 8:
Увеличить