Официальное опубликование правовых актов
ОФИЦИАЛЬНОЕ ОПУБЛИКОВАНИЕ
Постановление Правительства Рязанской области от 26.06.2019 № 197
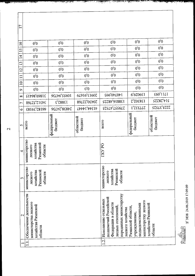
"О внесении изменений в постановление Правительства Рязанской области от 30 октября 2013 г. № 365 "Об утверждении государственной программы Рязанской области "Развитие водохозяйственного комплекса, лесного хозяйства и улучшение экологической обстановки" (в редакции постановлений Правительства Рязанской области от 10.12.2014 № 370, от 24.03.2015 № 60, от 29.04.2015 № 96, от 26.08.2015 № 213, от 23.12.2015 № 329, от 13.04.2016 № 75, от 13.07.2016 № 152, от 14.12.2016 № 291, от 28.12.2016 № 307, от 28.12.2016 № 311, от 07.06.2017 № 129, от 19.12.2017 № 373, от 23.03.2018 № 67, от 07.08.2018 № 225, от 31.10.2018 № 302, от 31.10.2018 № 303, от 25.12.2018 № 412, от 19.04.2019 № 112)"
Номер опубликования: 6200201907010001
Дата опубликования: 01.07.2019
Страница №18 из 23:
Увеличить