Официальное опубликование правовых актов
ОФИЦИАЛЬНОЕ ОПУБЛИКОВАНИЕ
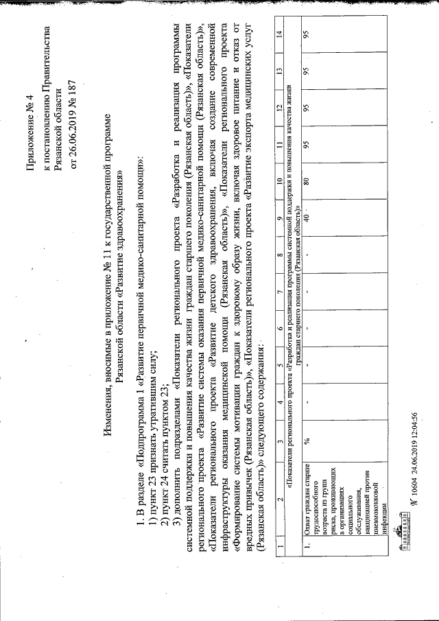
Постановление Правительства Рязанской области от 26.06.2019 № 187
"О внесении изменений в постановление Правительства Рязанской области от 29.10.2014 № 311 "Об утверждении государственной программы Рязанской области "Развитие здравоохранения" (в редакции постановлений Правительства Рязанской области от 24.03.2015 № 64, от 08.07.2015 № 165, от 09.09.2015 № 223, от 09.12.2015 № 302, от 29.12.2015 № 346, от 10.02.2016 № 12, от 30.03.2016 № 60, от 18.05.2016 № 97, от 10.08.2016 № 182, от 14.09.2016 № 206, от 02.11.2016 № 251, от 28.12.2016 № 308, от 14.02.2017 № 29, от 18.04.2017 № 78, от 19.07.2017 № 164, от 23.08.2017 № 196, от 25.10.2017 № 262, от 21.11.2017 № 309, от 26.12.2017 № 412, от 06.02.2018 № 23, от 03.04.2018 № 82, от 26.06.2018 № 182, от 14.08.2018 № 232, от 08.10.2018 № 285, от 16.10.2018 № 290, от 27.11.2018 № 333, от 19.12.2018 № 370, от 25.12.2018 № 416, от 05.02.2019 № 23, от 26.02.2019 № 43, от 04.06.2019 № 150)"
Номер опубликования: 6200201907010009
Дата опубликования: 01.07.2019
Страница №52 из 62:
Увеличить