Официальное опубликование правовых актов
ОФИЦИАЛЬНОЕ ОПУБЛИКОВАНИЕ
Постановление Правительства Рязанской области от 26.06.2019 № 185
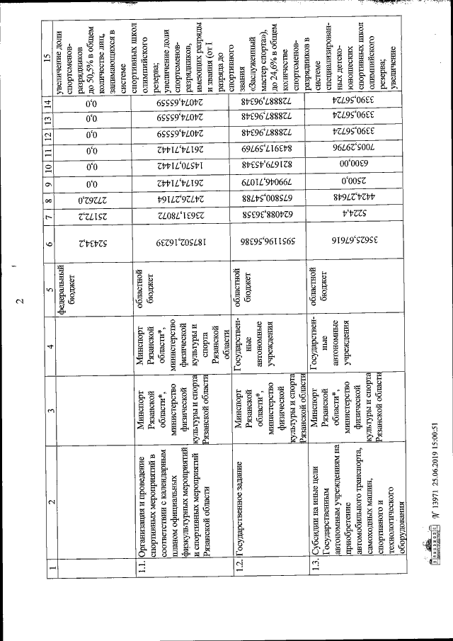
"О внесении изменений в постановление Правительства Рязанской области от 29 октября 2014 г. № 310 "Об утверждении государственной программы Рязанской области "Развитие физической культуры и спорта" (в редакции постановлений Правительства Рязанской области от 24.03.2015 № 58, от 15.07.2015 № 166, от 18.12.2015 № 320, от 17.02.2016 № 26, от 13.04.2016 № 67, от 09.06.2016 № 128, от 03.08.2016 № 173, от 28.09.2016 № 229, от 07.12.2016 № 278, от 28.12.2016 № 327, от 22.03.2017 № 54, от 13.04.2017 № 69, от 11.07.2017 № 160, от 15.11.2017 № 299, от 12.12.2017 № 343, от 26.12.2017 № 399, от 03.04.2018 № 75, от 20.06.2018 № 171, от 21.08.2018 № 244, от 16.10.2018 № 291, от 27.11.2018 № 334, от 19.12.2018 № 367, от 05.03.2019 № 48, от 26.04.2019 № 123, от 05.06.2019 № 156)"
Номер опубликования: 6200201907010014
Дата опубликования: 01.07.2019
Страница №17 из 28:
Увеличить