Официальное опубликование правовых актов
ОФИЦИАЛЬНОЕ ОПУБЛИКОВАНИЕ
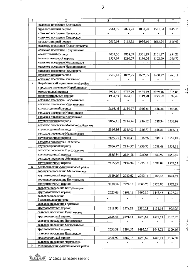
Постановление Правительства Рязанской области от 16.07.2019 № 216
"О региональном стандарте стоимости жилищно-коммунальных услуг"
Номер опубликования: 6200201907220005
Дата опубликования: 22.07.2019
Страница №15 из 43:
Увеличить