Официальное опубликование правовых актов
ОФИЦИАЛЬНОЕ ОПУБЛИКОВАНИЕ
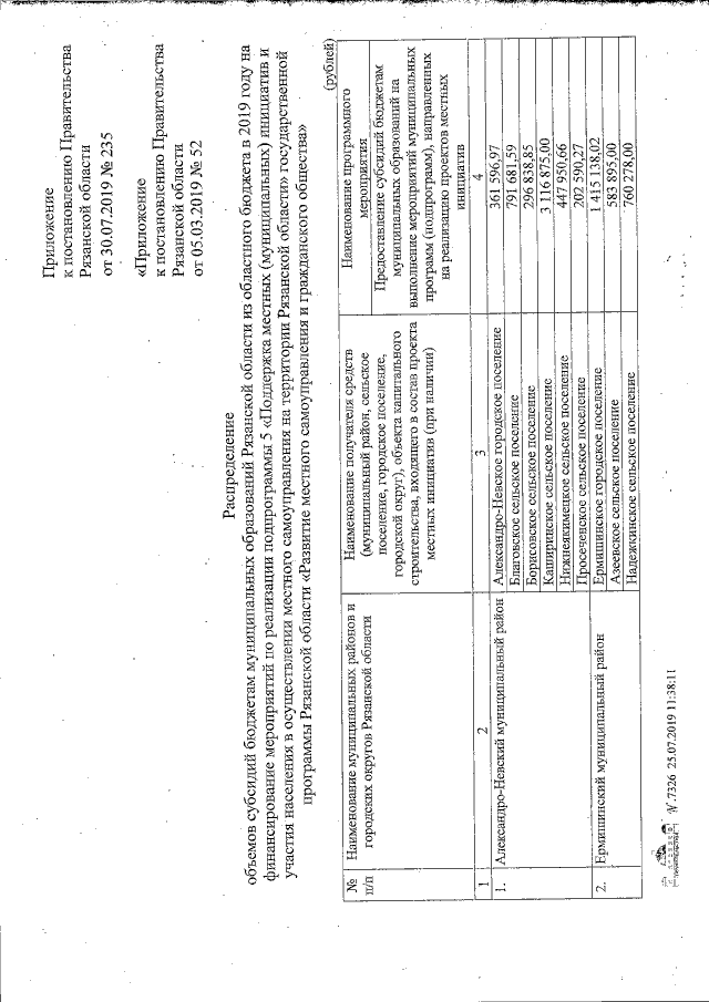
Постановление Правительства Рязанской области от 30.07.2019 № 235
"О внесении изменения в постановление Правительства Рязанской области от 05 марта 2019 г. № 52 "Об утверждении распределения объемов субсидий бюджетам муниципальных образований Рязанской области в 2019 году на реализацию государственной программы Рязанской области "Развитие местного самоуправления и гражданского общества" (в редакции постановлений Правительства Рязанской области от 09.04.2019 № 98, от 26.06.2019 № 195)"
Номер опубликования: 6200201908050002
Дата опубликования: 05.08.2019
Страница №2 из 6:
Увеличить