Официальное опубликование правовых актов
ОФИЦИАЛЬНОЕ ОПУБЛИКОВАНИЕ
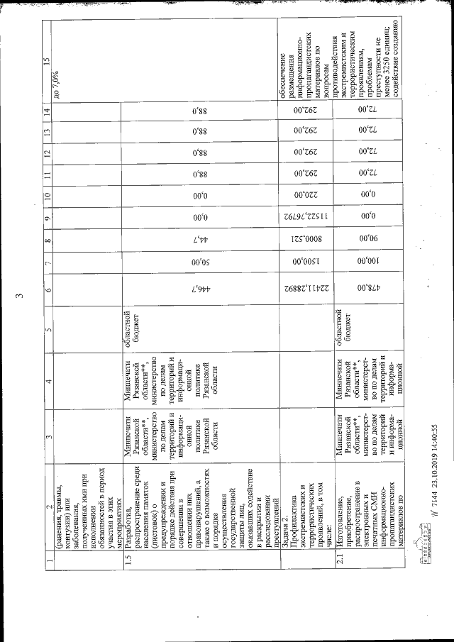
Постановление Правительства Рязанской области от 29.10.2019 № 339
"О внесении изменений в постановление Правительства Рязанской области от 29 октября 2014 г. № 317 "Об утверждении государственной программы Рязанской области "Профилактика правонарушений и предупреждение чрезвычайных ситуаций" (в редакции постановлений Правительства Рязанской области от 24.03.2015 № 66, от 20.05.2015 № 112, от 08.07.2015 № 159, от 29.12.2015 № 343, от 13.04.2016 № 76, от 01.06.2016 № 121, от 20.07.2016 № 165, от 14.09.2016 № 211, от 28.12.2016 № 321, от 19.07.2017 № 166, от 12.12.2017 № 348, от 26.12.2017 № 410, от 08.05.2018 № 126, от 26.06.2018 № 185, от 05.09.2018 № 256, от 03.10.2018 № 283, от 11.12.2018 № 352, от 28.12.2018 № 440, от 23.04.2019 № 116)"
Номер опубликования: 6200201911050004
Дата опубликования: 05.11.2019
Страница №25 из 45:
Увеличить