Официальное опубликование правовых актов
ОФИЦИАЛЬНОЕ ОПУБЛИКОВАНИЕ
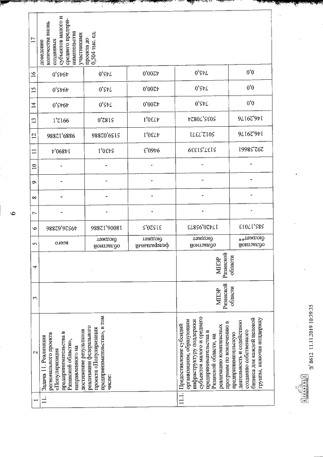
Постановление Правительства Рязанской области от 12.11.2019 № 344
"О внесении изменений в постановление Правительства Рязанской области от 29 октября 2014 г. № 306 "Об утверждении государственной программы Рязанской области "Экономическое развитие" (в редакции постановлений Правительства Рязанской области от 29.12.2014 № 401, от 24.03.2015 № 63, от 12.08.2015 № 202, от 16.09.2015 № 231, от 28.10.2015 № 272, от 29.12.2015 № 344, от 02.03.2016 № 42, от 17.08.2016 № 188, от 28.09.2016 № 226, от 28.12.2016 № 320, от 18.04.2017 № 79, от 20.06.2017 № 137, от 23.08.2017 № 197, от 15.11.2017 № 301, от 12.12.2017 № 347, от 19.12.2017 № 372, от 11.04.2018 № 95, от 10.07.2018 № 202, от 31.07.2018 № 216, от 31.10.2018 № 307, от 19.12.2018 № 378, от 01.02.2019 № 16, от 04.02.2019 № 19, от 26.06.2019 № 183)"
Номер опубликования: 6200201911180005
Дата опубликования: 18.11.2019
Страница №32 из 53:
Увеличить