Официальное опубликование правовых актов
ОФИЦИАЛЬНОЕ ОПУБЛИКОВАНИЕ
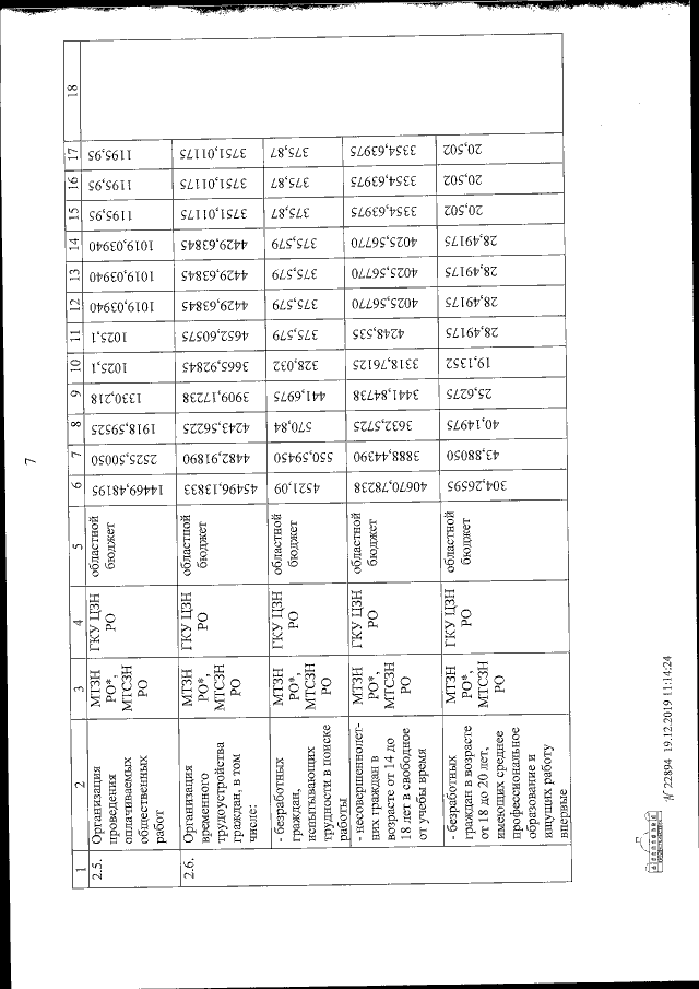
Постановление Правительства Рязанской области от 24.12.2019 № 421
"О внесении изменений в постановление Правительства Рязанской области от 29.10.2014 № 309 "Об утверждении государственной программы Рязанской области "О развитии сферы занятости" (в редакции постановлений Правительства Рязанской области от 23.04.2015 № 88, от 24.06.2015 № 147, от 21.10.2015 № 264, от 29.12.2015 № 340, от 11.04.2016 № 64, от 10.08.2016 № 178, от 13.12.2016 № 284, от 14.12.2016 № 290, от 28.12.2016 № 325, от 17.05.2017 № 100, от 18.10.2017 № 255, от 21.11.2017 № 305, от 26.12.2017 № 393, от 15.05.2018 № 135, от 25.07.2018 № 211, от 05.09.2018 № 253, от 31.10.2018 № 312, от 04.12.2018 № 346, от 28.12.2018 № 427, от 11.02.2019 № 28, от 05.03.2019 № 49, от 17.04.2019 № 110, от 26.06.2019 № 181, от 03.09.2019 № 280)"
Номер опубликования: 6200201912300011
Дата опубликования: 30.12.2019
Страница №16 из 65:
Увеличить