Официальное опубликование правовых актов
ОФИЦИАЛЬНОЕ ОПУБЛИКОВАНИЕ
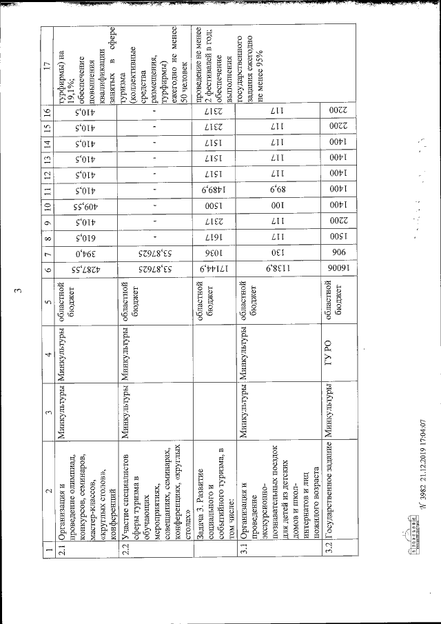
Постановление Правительства Рязанской области от 24.12.2019 № 429
"О внесении изменений в постановление Правительства Рязанской области от 29 октября 2014 г. № 316 "Об утверждении государственной программы Рязанской области "Развитие культуры и туризма" (в редакции постановлений Правительства Рязанской области от 04.03.2015 № 38, от 20.04.2015 № 83, от 14.05.2015 № 103, от 29.07.2015 № 183, от 23.09.2015 № 234, от 17.11.2015 № 285, от 29.12.2015 № 337, от 02.03.2016 № 41, от 18.05.2016 № 99, от 16.06.2016 № 131, от 24.08.2016 № 191, от 22.11.2016 № 269, от 07.12.2016 № 279, от 14.12.2016 № 294, от 28.12.2016 № 331, от 08.02.2017 № 9, от 15.03.2017 № 50, от 24.05.2017 № 117, от 14.06.2017 № 131, от 26.07.2017 № 179, от 07.08.2017 № 183, от 08.11.2017 № 283, от 05.12.2017 № 321, от 26.12.2017 № 392, от 26.12.2017 № 411, от 27.02.2018 № 36, от 28.03.2018 № 69, от 06.06.2018 № 159, от 14.08.2018 № 230, от 26.09.2018 № 273, от 12.11.2018 № 320, от 27.11.2018 № 335, от 17.12.2018 № 364, от 26.03.2019 № 77, от 04.06.2019 № 149, от 26.06.2019 № 189, от 12.08.2019 № 248, от 13.08.2019 № 250, от 09.09.2019 № 285, от 17.10.2019 № 319, от 22.10.2019 № 328, от 26.11.2019 № 375)"
Номер опубликования: 6200201912300018
Дата опубликования: 30.12.2019
Страница №19 из 84:
Увеличить