Официальное опубликование правовых актов
ОФИЦИАЛЬНОЕ ОПУБЛИКОВАНИЕ
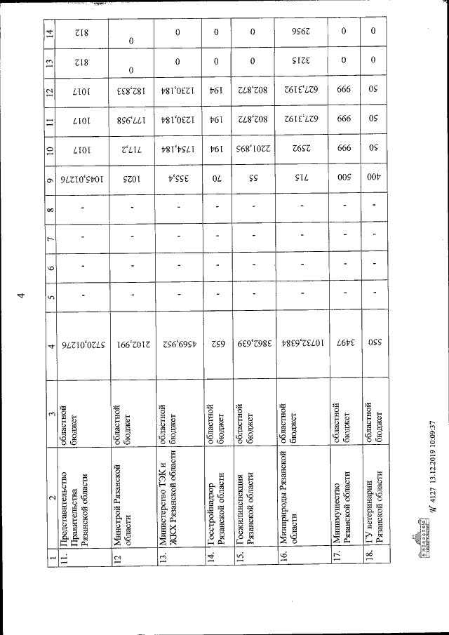
Постановление Правительства Рязанской области от 24.12.2019 № 431
"О внесении изменений в постановление Правительства Рязанской области от 29 октября 2014 г. № 307 "Об утверждении государственной программы Рязанской области "Развитие информационного общества, инновационной деятельности и промышленности" (в редакции постановлений Правительства Рязанской области от 29.04.2015 № 100, от 11.11.2015 № 279, от 29.12.2015 № 338, от 17.02.2016 № 25, от 27.04.2016 № 89, от 07.07.2016 № 149, от 07.10.2016 № 238, от 21.12.2016 № 300, от 05.04.2017 № 57, от 18.09.2017 № 222, от 06.12.2017 № 329, от 12.12.2017 № 349, от 19.12.2017 № 374, от 17.04.2018 № 104, от 21.08.2018 № 245, от 16.10.2018 № 292, от 31.10.2018 № 310, от 19.12.2018 № 380, от 12.03.2019 № 56, от 26.06.2019 №184, от 17.10.2019 № 317, от 18.11.2019 № 365, от 18.12,2019 № 415)"
Номер опубликования: 6200201912300027
Дата опубликования: 30.12.2019
Страница №6 из 41:
Увеличить