Официальное опубликование правовых актов
ОФИЦИАЛЬНОЕ ОПУБЛИКОВАНИЕ
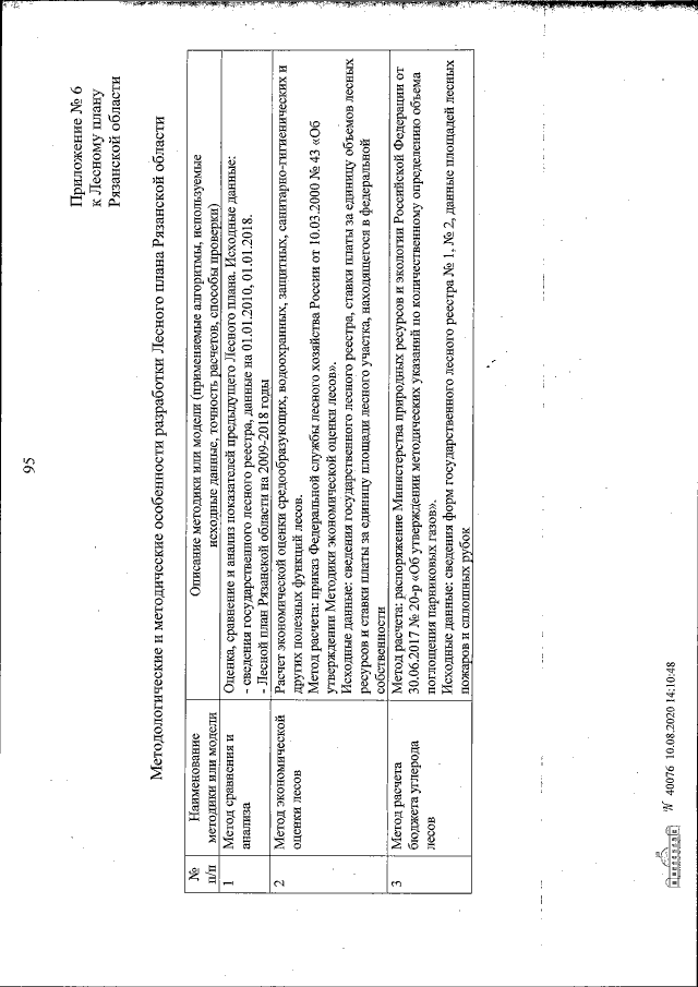
Постановление Губернатора Рязанской области от 12.08.2020 № 110-пг
"О внесении изменения в постановление Губернатора Рязанской области от 29 декабря 2018 г. № 167-пг "Об утверждении Лесного плана Рязанской области"
Номер опубликования: 6200202008140002
Дата опубликования: 14.08.2020
Страница №96 из 172:
Увеличить