Официальное опубликование правовых актов
ОФИЦИАЛЬНОЕ ОПУБЛИКОВАНИЕ
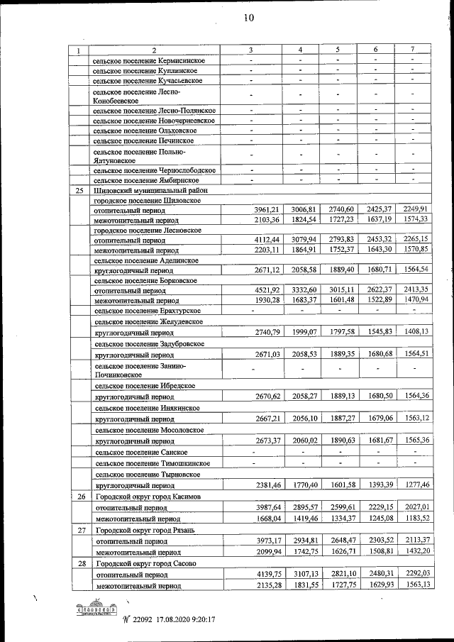
Постановление Правительства Рязанской области от 02.09.2020 № 224
"О региональном стандарте стоимости жилищно-коммунальных услуг"
Номер опубликования: 6200202009040007
Дата опубликования: 04.09.2020
Страница №33 из 45:
Увеличить