Официальное опубликование правовых актов
ОФИЦИАЛЬНОЕ ОПУБЛИКОВАНИЕ
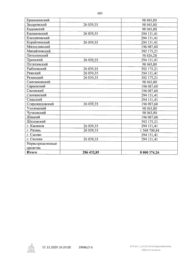
Закон Рязанской области от 26.12.2020 № 100-ОЗ
"Об областном бюджете на 2021 год и на плановый период 2022 и 2023 годов"
Номер опубликования: 6200202012280006
Дата опубликования: 28.12.2020
Страница №682 из 755:
Увеличить