Официальное опубликование правовых актов
ОФИЦИАЛЬНОЕ ОПУБЛИКОВАНИЕ
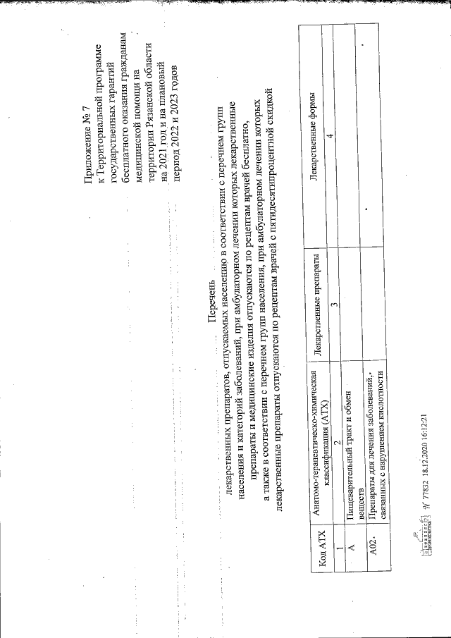
Постановление Правительства Рязанской области от 30.12.2020 № 386
"Об утверждении Территориальной программы государственных гарантий бесплатного оказания гражданам медицинской помощи на территории Рязанской области на 2021 год и на плановый период 2022 и 2023 годов"
Номер опубликования: 6200202012310010
Дата опубликования: 31.12.2020
Страница №46 из 152:
Увеличить