Официальное опубликование правовых актов
ОФИЦИАЛЬНОЕ ОПУБЛИКОВАНИЕ
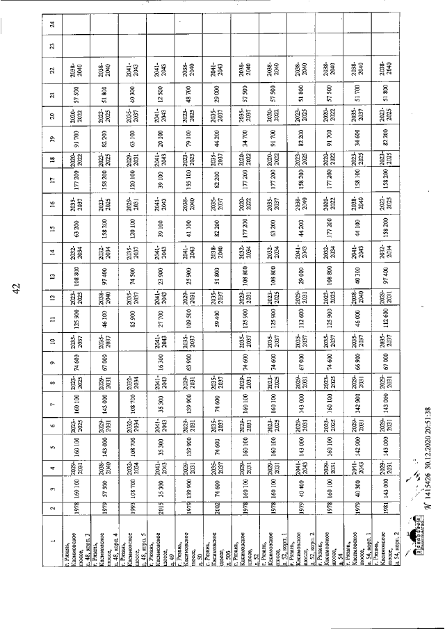
Постановление Правительства Рязанской области от 30.12.2020 № 387
"О внесении изменений в постановление Правительства Рязанской области от 12.02.2014 № 26 "Об утверждении региональной программы капитального ремонта общего имущества в многоквартирных домах" (в редакции постановлений Правительства Рязанской области от 15.10.2014 № 293, от 11.06.2015 № 140, от 13.07.2016 № 158, от 28.12.2016 № 332, от 31.10.2017 № 271, от 29.12.2017 № 424, от 28.12.2018 № 422, от 22.05.2019 № 144, от 27.12.2019 № 444)"
Номер опубликования: 6200202012310013
Дата опубликования: 31.12.2020
Страница №43 из 651:
Увеличить