Официальное опубликование правовых актов
ОФИЦИАЛЬНОЕ ОПУБЛИКОВАНИЕ
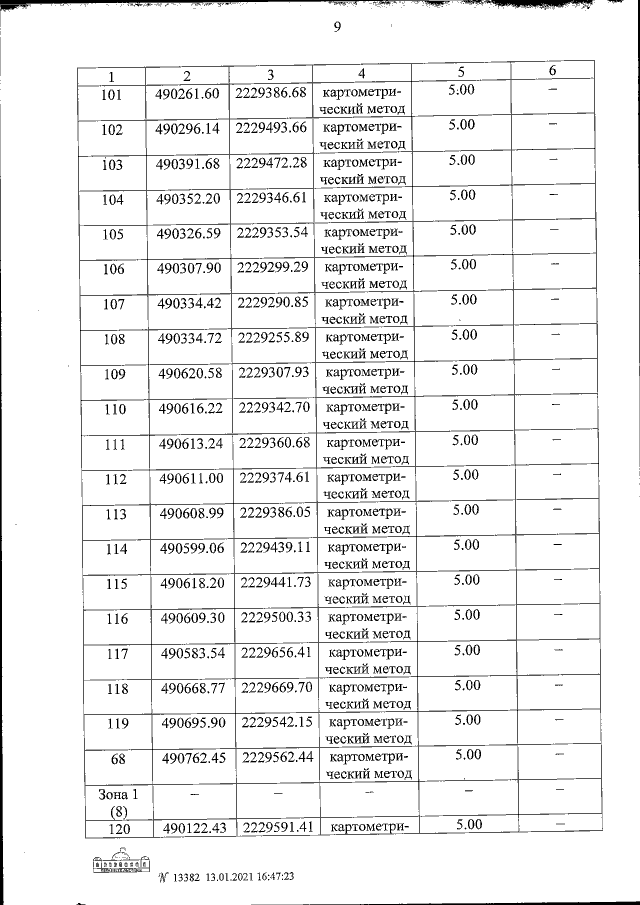
Постановление Правительства Рязанской области от 19.01.2021 № 8
"Об установлении объединенной зоны охраны объектов культурного наследия федерального значения (Рязанская область, Касимовский район, р.п. Гусь-Железный) и об утверждении требований к градостроительным регламентам в границах территории данной зоны"
Номер опубликования: 6200202101220002
Дата опубликования: 22.01.2021
Страница №11 из 25:
Увеличить