Официальное опубликование правовых актов
ОФИЦИАЛЬНОЕ ОПУБЛИКОВАНИЕ
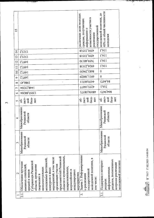
Постановление Правительства Рязанской области от 02.03.2021 № 24
"О внесении изменений в постановление Правительства Рязанской области от 30 октября 2013 г. № 344 "Об утверждении государственной программы Рязанской области "Развитие образования и молодежной политики" (в редакции постановлений Правительства Рязанской области от 30.04.2014 № 121, от 23.07.2014 № 213, от 29.08.2014 № 244, от 29.10.2014 № 313, от 17.12.2014 № 373, от 18.03.2015 № 47, от 20.05.2015 № 105, от 04.06.2015 № 127, от 15.07.2015 № 169, от 30.09.2015 № 248, от 23.12.2015 № 327, от 10.02.2016 № 13, от 12.02.2016 № 22, от 23.03.2016 № 55, от 20.04.2016 № 82, от 01.06.2016 № 117, от 28.09.2016 № 224, от 07.12.2016 № 282, от 14.12.2016 № 289, от 28.12.2016 № 319, от 14.02.2017 № 33, от 17.05.2017 № 106, от 08.06.2017 № 130, от 26.07.2017 № 182, от 30.08.2017 № 203, от 31.10.2017 № 269, от 29.11.2017 № 317, от 06.12.2017 № 322, от 12.12.2017 № 345, от 14.12.2017 № 362, от 26.12.2017 № 417, от 23.01.2018 № 5, от 01.02.2018 № 18, от 07.03.2018 № 43, от 11.04.2018 № 89, от 27.04.2018 № 109, от 20.06.2018 № 166, от 07.08.2018 № 223, от 26.09.2018 № 275, от 16.10.2018 № 294, от 04.12.2018 № 339, от 11.12.2018 № 354, от 21.12.2018 № 390, от 29.01.2019 № 9, от 06.03.2019 № 55, от 30.04.2019 № 128, от 26.06.2019 № 188, от 18.07.2019 № 225, от 20.08.2019 № 262, от 18.09.2019 № 296, от 12.11.2019 № 347, от 09.12.2019 № 386, от 18.12.2019 № 420, от 29.01.2020 № 6, от 18.02.2020 № 19, от 02.03.2020 № 29, от 03.03.2020 № 30, от 14.04.2020 № 73, от 26.05.2020 № 115, от 02.06.2020 № 128, от 04.08.2020 № 191, от 24.08.2020 № 209, от 08.09.2020 № 230, от 29.09.2020 № 245, от 16.10.2020 № 269, от 02.11.2020 № 285, от 01.12.2020 № 319, от 22.12.2020 № 357, от 30.12.2020 № 378, от 30.12.2020 № 380)"
Номер опубликования: 6200202103050010
Дата опубликования: 05.03.2021
Страница №268 из 279:
Увеличить