Официальное опубликование правовых актов
ОФИЦИАЛЬНОЕ ОПУБЛИКОВАНИЕ
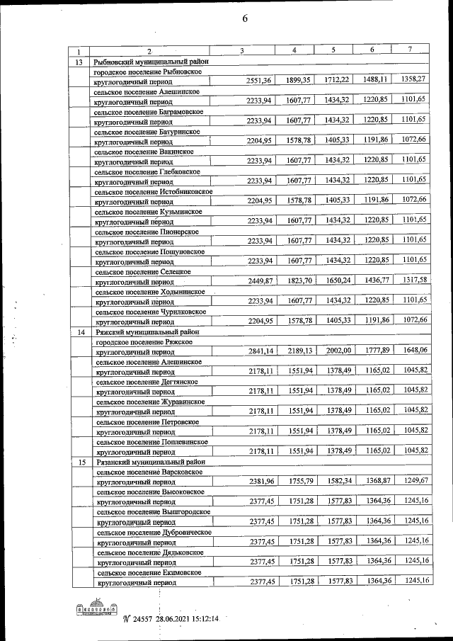
Постановление Правительства Рязанской области от 10.08.2021 № 216
"О региональном стандарте стоимости жилищно-коммунальных услуг"
Номер опубликования: 6200202108130001
Дата опубликования: 13.08.2021
Страница №38 из 43:
Увеличить