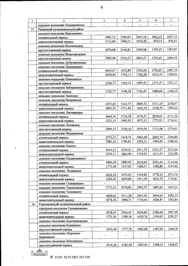
Постановление Правительства Рязанской области от 10.08.2021 № 216
"О региональном стандарте стоимости жилищно-коммунальных услуг"
"О региональном стандарте стоимости жилищно-коммунальных услуг"
Номер опубликования: 6200202108130001
Дата опубликования:
13.08.2021
