Официальное опубликование правовых актов
ОФИЦИАЛЬНОЕ ОПУБЛИКОВАНИЕ
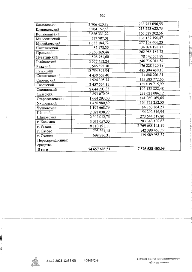
Закон Рязанской области от 24.12.2021 № 101-ОЗ
"Об областном бюджете на 2022 год и на плановый период 2023 и 2024 годов"
Номер опубликования: 6200202112240012
Дата опубликования: 24.12.2021
Страница №510 из 593:
Увеличить