Официальное опубликование правовых актов
ОФИЦИАЛЬНОЕ ОПУБЛИКОВАНИЕ
Постановление Правительства Рязанской области от 13.09.2022 № 327
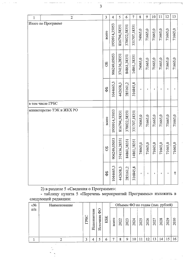
"О внесении изменений в постановление Правительства Рязанской области от 30 августа 2017 г. № 204 "Об утверждении государственной программы Рязанской области "Формирование современной городской среды" (в редакции постановлений Правительства Рязанской области от 08.05.2018 № 127, от 25.07.2018 № 206, от 12.03.2019 № 60, от 20.05.2019 № 134, от 26.06.2019 № 191, от 24.12.2019 № 436, от 09.06.2020 № 134, от 08.12.2020 № 327, от 13.04.2021 № 74, от 08.09.2021 № 232, от 24.11.2021 № 325, от 28.12.2021 № 413, от 05.04.2022 № 126, от 21.06.2022 № 226)"
Номер опубликования: 6200202209160001
Дата опубликования: 16.09.2022
Страница №3 из 9:
Увеличить