Официальное опубликование правовых актов
ОФИЦИАЛЬНОЕ ОПУБЛИКОВАНИЕ
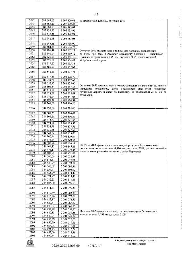
Закон Рязанской области от 08.06.2023 № 51-ОЗ
"О преобразовании муниципальных образований Путятинского муниципального района Рязанской области, внесении изменений в отдельные законодательные акты Рязанской области, признании утратившими силу отдельных положений законодательных актов Рязанской области и признании утратившими силу отдельных законодательных актов Рязанской области"
Номер опубликования: 6200202306090009
Дата опубликования: 09.06.2023
Страница №44 из 52:
Увеличить