Официальное опубликование правовых актов
ОФИЦИАЛЬНОЕ ОПУБЛИКОВАНИЕ
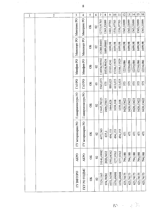
Постановление Правительства Рязанской области от 04.07.2023 № 259
"О внесении изменений в постановление Правительства Рязанской области от 29 октября 2014 г. № 307 «Об утверждении государственной программы Рязанской области «Развитие информационного общества» (в редакции постановлений Правительства Рязанской области от 29.04.2015 № 100, от 11.11.2015 № 279, от 29.12.2015 № 338, от 17.02.2016 № 25, от 27.04.2016 № 89, от 07.07.2016 № 149, от 07.10.2016 № 238, от 21.12.2016 № 300, от 05.04.2017 № 57, от 18.09.2017 № 222, от 06.12.2017 № 329, от 12.12.2017 № 349, от 19.12.2017 № 374, от 17.04.2018 № 104, от 21.08.2018 № 245, от 16.10.2018 № 292, от 31.10.2018 № 310, от 19.12.2018 № 380, от 12.03.2019 № 56, от 26.06.2019 № 184, от 17.10.2019 № 317, от 18.11.2019 № 365, от 18.12.2019 № 415, от 24.12.2019 № 431, от 03.03.2020 № 39, от 15.09.2020 № 234, от 08.12.2020 № 331, от 29.12.2020 № 368, от 02.03.2021 № 28, от 27.04.2021 № 105, от 18.05.2021 № 117, от 03.08.2021 № 209, от 17.08.2021 № 219, от 05.10.2021 № 265, от 21.12.2021 № 384, от 23.12.2021 № 403, от 28.12.2021 № 421, от 09.03.2022 № 70, от 12.04.2022 № 142, от 31.05.2022 № 202, от 16.08.2022 № 301, от 01.11.2022 № 391, от 10.11.2022 № 405, от 28.12.2022 № 538, от 28.12.2022 № 540, от 18.01.2023 № 5, от 22.03.2023 № 94, от 25.04.2023 № 166)"
Номер опубликования: 6200202307060006
Дата опубликования: 06.07.2023
Страница №8 из 10:
Увеличить