Официальное опубликование правовых актов
ОФИЦИАЛЬНОЕ ОПУБЛИКОВАНИЕ
Постановление Правительства Рязанской области от 25.03.2025 № 107
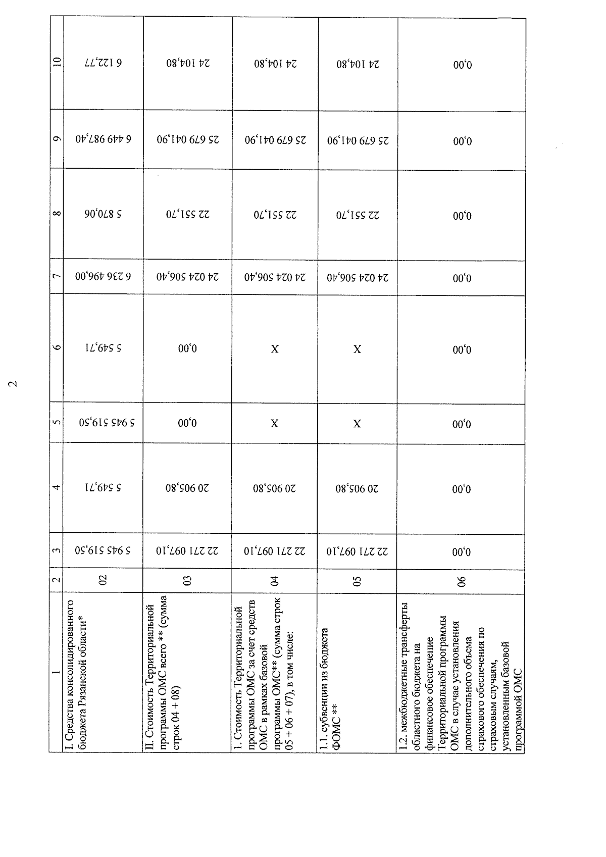
"О внесении изменений в постановление Правительства Рязанской области от 27 декабря 2024 г. № 440 "Об утверждении "Территориальной программы государственных гарантий бесплатного оказания гражданам медицинской помощи на 2025 год и на плановый период 2026 и 2027 годов"
Номер опубликования: 6200202503270002
Дата опубликования: 27.03.2025
Страница №22 из 116:
Увеличить