Официальное опубликование правовых актов
ОФИЦИАЛЬНОЕ ОПУБЛИКОВАНИЕ
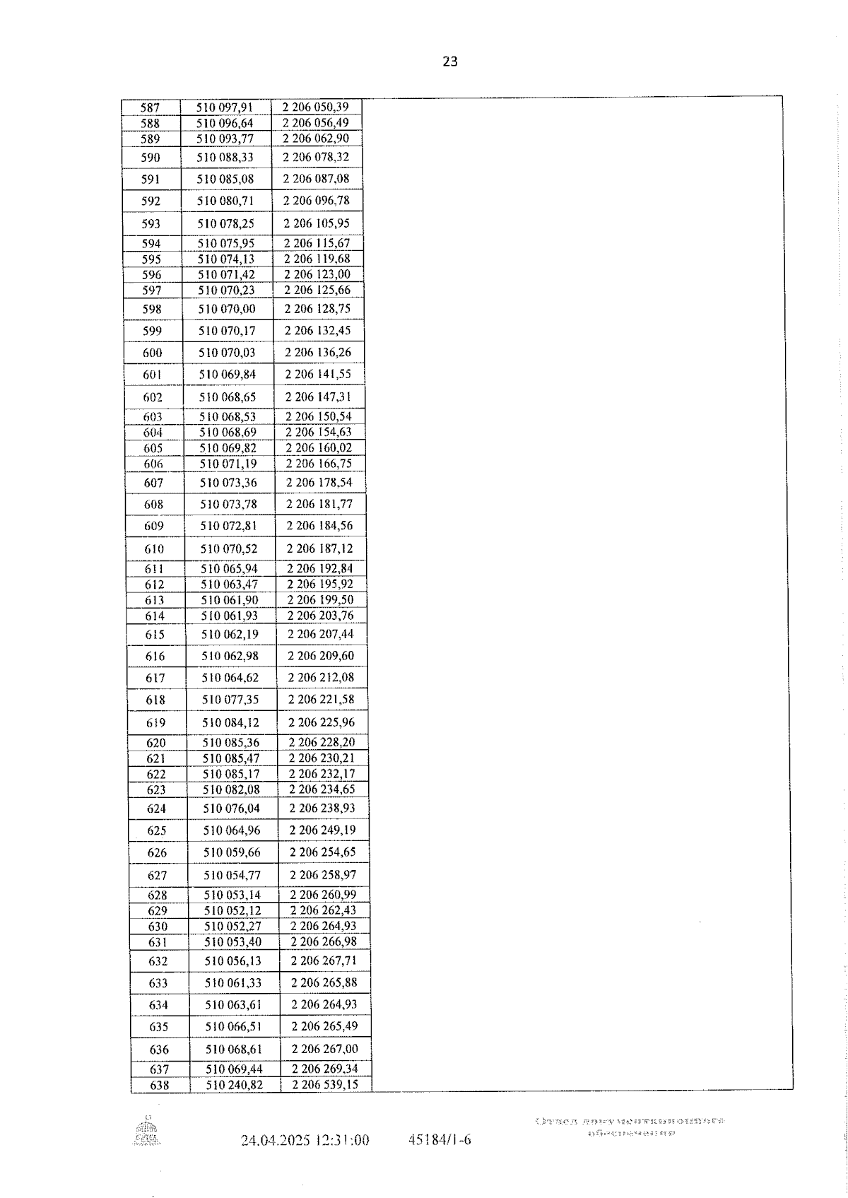
Закон Рязанской области от 05.05.2025 № 26-ОЗ
"О преобразовании муниципальных образований Клепиковского муниципального района Рязанской области, внесении изменений в отдельные законодательные акты Рязанской области, признании утратившими силу отдельных положений законодательных актов Рязанской области и признании утратившими силу отдельных законодательных актов Рязанской области"
Номер опубликования: 6200202505050016
Дата опубликования: 05.05.2025
Страница №23 из 69:
Увеличить