Официальное опубликование правовых актов
ОФИЦИАЛЬНОЕ ОПУБЛИКОВАНИЕ
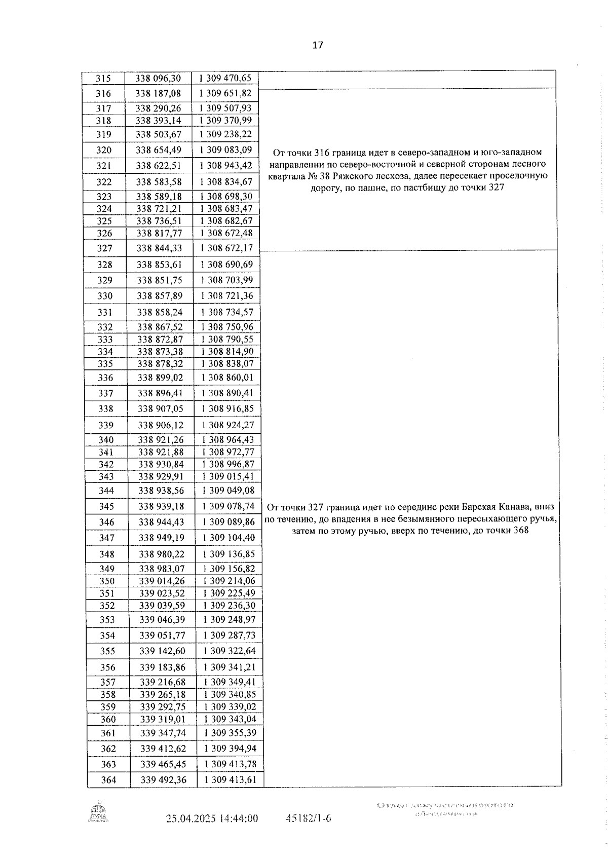
Закон Рязанской области от 05.05.2025 № 27-ОЗ
"О преобразовании муниципальных образований Милославского муниципального района Рязанской области, внесении изменений в отдельные законодательные акты Рязанской области и признании утратившими силу отдельных законодательных актов Рязанской области"
Номер опубликования: 6200202505050017
Дата опубликования: 05.05.2025
Страница №17 из 45:
Увеличить