Официальное опубликование правовых актов
ОФИЦИАЛЬНОЕ ОПУБЛИКОВАНИЕ
Постановление Правительства Рязанской области от 28.10.2025 № 339
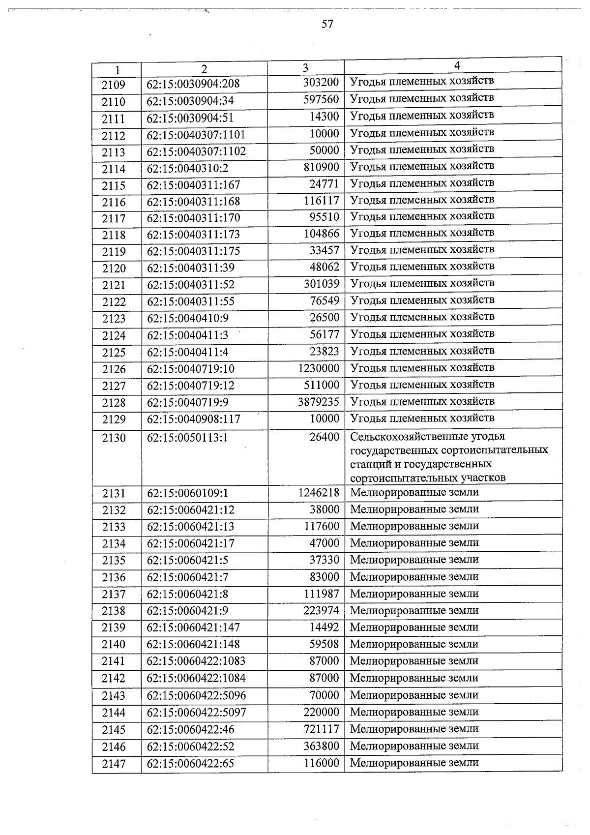
"О внесении изменения в постановление Правительства Рязанской области от 10 ноября 2016 г. № 253 "Об утверждении перечня особо ценных продуктивных сельскохозяйственных угодий на территории Рязанской области, использование которых для других целей не допускается" (в редакции постановлений Правительства Рязанской области от 31.10.2018 № 304, от 08.02.2022 № 33, от 29.11.2022 № 437, от 31.01.2023 № 34, от 14.03.2023 № 84, от 15.08.2023 № 307, от 08.05.2024 № 136, от 03.06.2024 № 176, от 22.10.2024 № 340, от 11.12.2024 № 400, от 05.02.2025 № 28, от 22.04.2025 № 146, от 08.07.2025 № 215)"
Номер опубликования: 6200202510310005
Дата опубликования: 31.10.2025
Страница №58 из 110:
Увеличить