Официальное опубликование правовых актов
ОФИЦИАЛЬНОЕ ОПУБЛИКОВАНИЕ
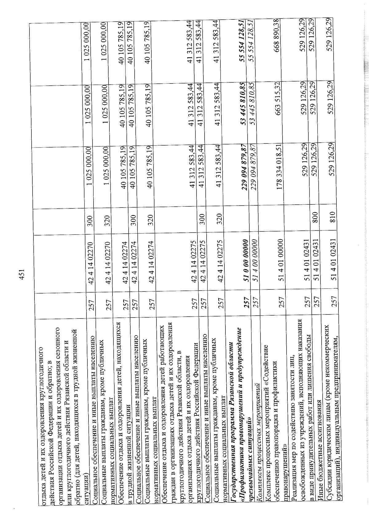
Закон Рязанской области от 23.12.2025 № 105-ОЗ
"Об областном бюджете на 2026 год и на плановый период 2027 и 2028 годов"
Номер опубликования: 6200202512240012
Дата опубликования: 24.12.2025
Страница №451 из 735:
Увеличить