Официальное опубликование правовых актов
ОФИЦИАЛЬНОЕ ОПУБЛИКОВАНИЕ
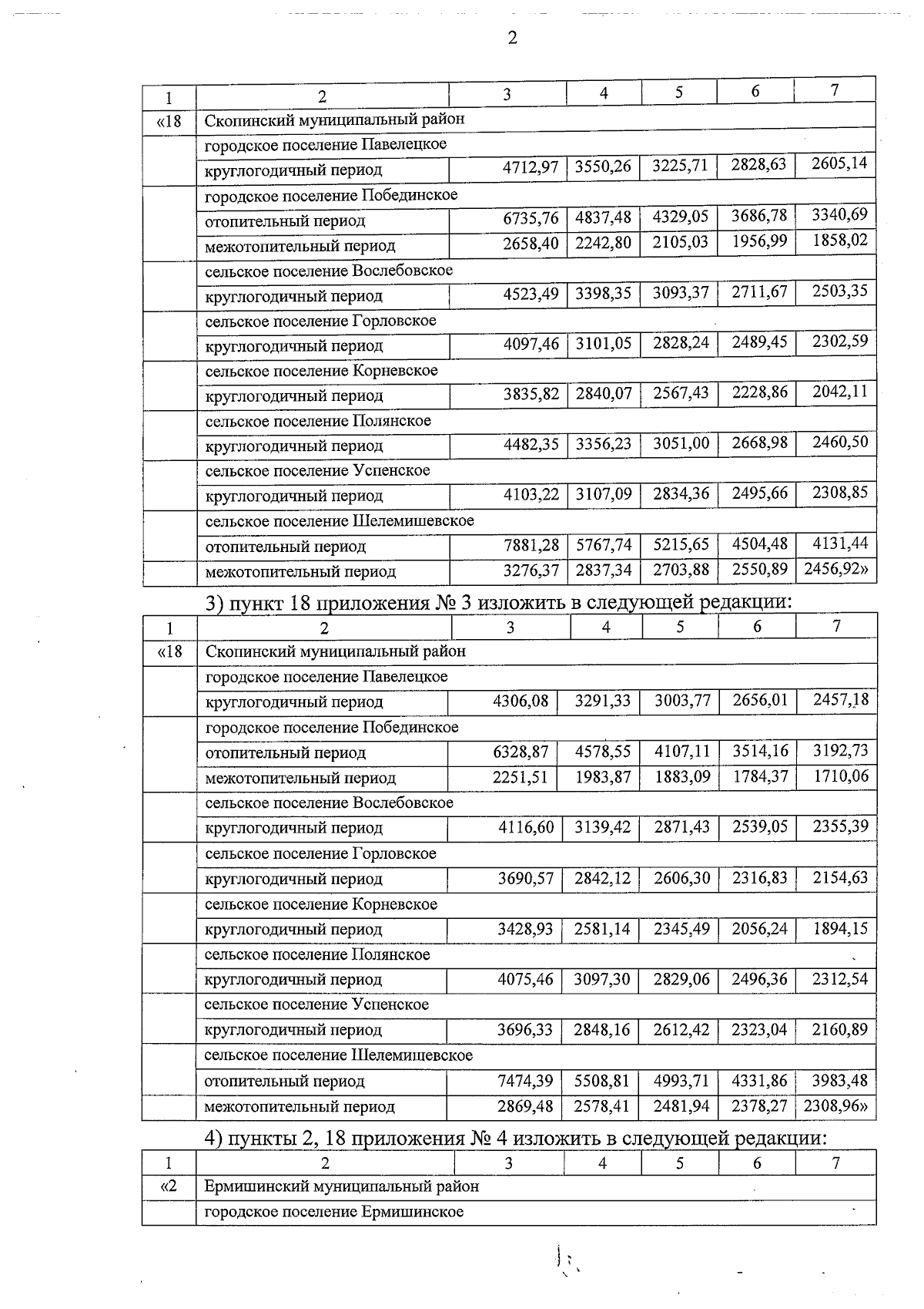
Постановление Правительства Рязанской области от 27.01.2026 № 9
"О внесении изменений в постановление Правительства Рязанской области от 8 августа 2025 г. № 258 "О региональном стандарте стоимости жилищно-коммунальных услуг"
Номер опубликования: 6200202601300002
Дата опубликования: 30.01.2026
Страница №2 из 3:
Увеличить